fire and ice Felgen auf Rocco

Alles zum Scirocco, was nicht woanders reinpasst...
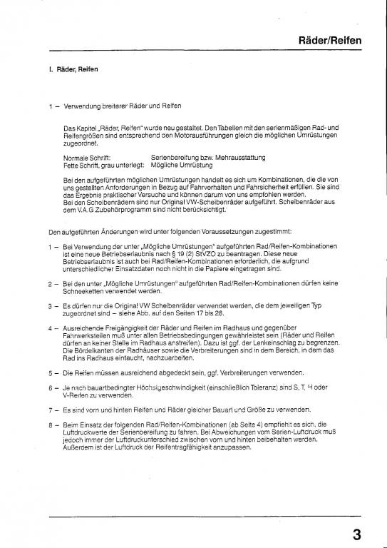
Antworten
Benutzeravatar
flat-red
Neuer Benutzer
Beiträge: 15
Registriert: Sa 28. Sep 2013, 10:19
Wohnort: Hannover

fire and ice Felgen auf Rocco

Beitrag von flat-red »

Hallo, ich weiß das Thema gab es schon.

Aber hat vielleicht jemand Papiere dazu?
Mein Vw laden hier ist nicht so der tollste, oder wollen mir nicht helfen.
Wäre super wenn mir jemand helfen könnte.

Danke schon mal!!!
Benutzeravatar
Scirocco-Andi
Benutzer
Beiträge: 664
Registriert: Di 14. Mär 2006, 21:47

AW: fire and ice Felgen auf Rocco

Beitrag von Scirocco-Andi »

6.jpg
6.jpg
6.jpg
6.jpg
6.jpg
6.jpg
Dateianhänge
Neues Bild.jpg
5.jpg
4.jpg
3.jpg
2.jpg
91er Scirocco Gt2 LA9V Jh ~90.000km :auto:

Sommerwägelchen Scirocco GtII EvolutionB-), KW 60/40, Eigendesign-Grill,QLS, Brembo, Greenstuff,BBS RM 195/45 R15, Gruppe N Edelstahl, + 30mm HA, BiColor Lederausstattung und bissel Bling Bling unterm Deckel:cool:

-Physik ist nur trocken, wenn der Tank leer ist-
Benutzeravatar
COB
Erfahrener Nutzer
Beiträge: 6671
Registriert: Fr 3. Jul 2009, 12:29
Wohnort: CHE/ERL

AW: fire and ice Felgen auf Rocco

Beitrag von COB »

Für Werksräder gibt es grundsätzlich keine Papiere ala TGA oder ABE. Im Normalfall bekommt man nur so was im obigen Anhang (gibt es aber nicht für alle Räder) oder auch nur einen reinen Traglastnachweis aus dem Räderkatalog, damit kann das dann jeder aaS abnehmen, kostet am Ende eh alles das Gleiche. ;-)
Die VW-Horde: Scirocco GT (93-99) - Passat C (95-01) - Scirocco GTX (99-heute)
Die BMW-Horde: 525iT (01-07) - 540iT (07-heute) - 540iA (09-heute) - 528iT (10-heute) - 520dT (18-heute)

Haftungsausschluss: Alle gemachten Aussagen stellen lediglich die Sichtweise des Autors anhand der vorliegenden Informationen dar. Der Autor übernimmt keinerlei Haftung für die Befolgung gemachter Ratschläge und Hinweise. Jeder Halter ist für die Sicherheit seines Fahrzeuges vollumfänglich selbst verantwortlich und handelt somit immer eigenverantwortlich.
Benutzeravatar
flat-red
Neuer Benutzer
Beiträge: 15
Registriert: Sa 28. Sep 2013, 10:19
Wohnort: Hannover

AW: fire and ice Felgen auf Rocco

Beitrag von flat-red »

Super danke, damit sollte das wohl klappen
!
sciroccofreak willi
Erfahrener Nutzer
Beiträge: 4827
Registriert: Di 20. Aug 2002, 19:22
Wohnort: tiefstes Bayern

AW: fire and ice Felgen auf Rocco

Beitrag von sciroccofreak willi »

Achtung die Fire & Ice Felgen können statt dem Endbuchstaben Q bei der Teilenummer auch die Buchstaben AD haben, bei gleichen Daten und Design.

Bin erst letzten Freitag drauf gestoßen als ich mit den original VW-Änderungsradgeber meine Fire&Ice Winteralufelgen eintragen lassen habe und der aufmerksame TÜV-Prüfer eben statt dem Q hinten AD fand.
letztendlich hat der TÜV-Prüfer in seien Unterlagen gefunden, daß die Felgen beide Kennzeichnungen haben können.

Eine gute Prüfstelle hat diese Dokumente als gelbe Blattsammlung vorliegen.
'89 Scala, 95 PS, 310.000 km, eigentlich Alltagsauto (derzeit inaktiv)
'92er Corrado 16V, 256.000 km, derzeit Alltagsauto
'89 GTX, 95 PS, 260.000 km, Winterauto
'92 GT II, 95PS, 186.000 km Treffenmobil mit Klima
'92 GT II, 95 PS, 93.000 km, Liebhaberstück
'92 16V, 129 PS, 82.000 km, Liebhaberstück
'93 Corrado 16V, 355.000 km, Kinderwagen
'93 Corrado 16V, 119.000 km wieder fit
'94 Corrado VR6, 178.000km Pflegefall
'93 Corrado VR6, 216.000km
+ weiters
Benutzeravatar
COB
Erfahrener Nutzer
Beiträge: 6671
Registriert: Fr 3. Jul 2009, 12:29
Wohnort: CHE/ERL

AW: fire and ice Felgen auf Rocco

Beitrag von COB »

Bei so was hilft auch ein Ausdruck aus dem Onkel mit der Interpretation. Die eine Nummer ist entfallen und die Andere ist die Nachfolgenummer, die Räder haben irgendwann mal eine andere Farbe bekommen, das habe ich meinem aaS von der DEKRA gezeigt, hat ihm auch gereicht. (welche Nr welche ersetzt, weiss ich gar nicht mehr, ich hatte aber die gleiche Frage, auf dem Traglastnachweis stand eine andere TN als auf der Felge).
Die VW-Horde: Scirocco GT (93-99) - Passat C (95-01) - Scirocco GTX (99-heute)
Die BMW-Horde: 525iT (01-07) - 540iT (07-heute) - 540iA (09-heute) - 528iT (10-heute) - 520dT (18-heute)

Haftungsausschluss: Alle gemachten Aussagen stellen lediglich die Sichtweise des Autors anhand der vorliegenden Informationen dar. Der Autor übernimmt keinerlei Haftung für die Befolgung gemachter Ratschläge und Hinweise. Jeder Halter ist für die Sicherheit seines Fahrzeuges vollumfänglich selbst verantwortlich und handelt somit immer eigenverantwortlich.
sciroccofreak willi
Erfahrener Nutzer
Beiträge: 4827
Registriert: Di 20. Aug 2002, 19:22
Wohnort: tiefstes Bayern

AW: fire and ice Felgen auf Rocco

Beitrag von sciroccofreak willi »

COB hat geschrieben:Bei so was hilft auch ein Ausdruck aus dem Onkel mit der Interpretation. Die eine Nummer ist entfallen und die Andere ist die Nachfolgenummer, die Räder haben irgendwann mal eine andere Farbe bekommen, das habe ich meinem aaS von der DEKRA gezeigt, hat ihm auch gereicht. (welche Nr welche ersetzt, weiss ich gar nicht mehr, ich hatte aber die gleiche Frage, auf dem Traglastnachweis stand eine andere TN als auf der Felge).
Wer es schon vorher weiß kann sich darauf einstellen.
Mit dem original VW Änderungsratgeber Ausgabe 1991 hatte damit nicht gerechnet: erst später ist es mir aufgefallen daß in dem angehefteten Beiblättern für den Golf 3 beide Teilenummern bei der F&I Felge drinstehen.

Aber egal, mein TÜV-Prüfer hat dies auch in seinen Unterlagen rausgefunden.
'89 Scala, 95 PS, 310.000 km, eigentlich Alltagsauto (derzeit inaktiv)
'92er Corrado 16V, 256.000 km, derzeit Alltagsauto
'89 GTX, 95 PS, 260.000 km, Winterauto
'92 GT II, 95PS, 186.000 km Treffenmobil mit Klima
'92 GT II, 95 PS, 93.000 km, Liebhaberstück
'92 16V, 129 PS, 82.000 km, Liebhaberstück
'93 Corrado 16V, 355.000 km, Kinderwagen
'93 Corrado 16V, 119.000 km wieder fit
'94 Corrado VR6, 178.000km Pflegefall
'93 Corrado VR6, 216.000km
+ weiters
Benutzeravatar
COB
Erfahrener Nutzer
Beiträge: 6671
Registriert: Fr 3. Jul 2009, 12:29
Wohnort: CHE/ERL

AW: fire and ice Felgen auf Rocco

Beitrag von COB »

sciroccofreak willi hat geschrieben: Wer es schon vorher weiß kann sich darauf einstellen.
Stimmt, ich habe das ja auch nur zufällig gesehen, weil ich den Ausdruck mit der Traglast neben das Rad gehalten habe und hoppla, verschiedene End-Buchstaben. Also bin ich flux nochmal beim :-) aufgeschlagen und habe den mal schnüffeln lassen und siehe da, ein Entfallteil. Manchmal muss man auch mal Glück haben. ;-)
Die VW-Horde: Scirocco GT (93-99) - Passat C (95-01) - Scirocco GTX (99-heute)
Die BMW-Horde: 525iT (01-07) - 540iT (07-heute) - 540iA (09-heute) - 528iT (10-heute) - 520dT (18-heute)

Haftungsausschluss: Alle gemachten Aussagen stellen lediglich die Sichtweise des Autors anhand der vorliegenden Informationen dar. Der Autor übernimmt keinerlei Haftung für die Befolgung gemachter Ratschläge und Hinweise. Jeder Halter ist für die Sicherheit seines Fahrzeuges vollumfänglich selbst verantwortlich und handelt somit immer eigenverantwortlich.
Antworten